1. Написать программу, которая распечатывает таблицу перевода силы в Ньютонах в дины (1 дина СГС =10-5 Н) для значений от 1 до Fk с шагом 2 Н. Подсчитать количество строк в таблице.
2. Написать программу, которая распечатывает таблицу перевода давления в мм.рт.ст. в Паскали (1 мм.рт.ст. =1.333∙10-3 Па) для значений от Рn до Рk мм.рт.ст. с шагом 10 мм.рт.ст. Подсчитать количество строк в таблице.
3. Написать программу, которая распечатывает таблицу перевода мощности в лошадиных силах в киловатты (1 квт =1.36 л.с.) для значений от Рn до Рk л.с. с шагом 10 л.с. Подсчитать количество строк в таблице.
4. Напечатать таблицу соответствия между весом в фунтах и весом в килограммах для значений от Рn до Рk фунтов с шагом 1 фунт (1 фунт =400 г). Подсчитать количество строк в таблице.
5. Напечатать таблицу перевода расстояний в дюймах в сантиметры (1 дюйм =2.54 см) для значений от 0 до N дюймов с шагом d дюймов. Подсчитать количество строк в таблице.
6. Написать программу, которая распечатывает таблицу перевода расстояний в метрах в ангстремы (1А =10-10 м) для значений от 0 до Рk метров с шагом 0,5∙10-10 м. Подсчитать, сколько значений расстояния в таблице находится в интервале от 5 до 10 ангстрем.
7. Написать программу, которая распечатывает таблицу перевода углов в радианах в градусы (π радиан =180 градусов) для значений от 0 до k радиан с шагом d радиан (d-вещественное). Подсчитать, сколько значений углов в таблице меньше 180 градусов.
8. Написать программу, которая распечатывает таблицу перевода расстояний в световых годах в километры для значений от 1 до N св.лет с шагом d св.лет. Световой год – это расстояние, которое свет проходит за 1 год. Подсчитать, сколько значений расстояния в таблице находится в интервале от 5 до 10 световых лет.
9. Получить таблицу температур по Цельсию от Tn до Tk и их эквивалентов по шкале Фаренгейта (Tf) и по шкале Реомюра. Подсчитать, сколько значений Tf меньше 50 градусов.
10. Написать программу, которая распечатывает таблицу зависимости положения тела от времени, если оно падает с высоты H с начальной скоростью V0. Подсчитать число моментов времени, когда текущая высота меньше H/2.
11. Получить таблицу зависимости изменения относительного числа атомов радона N/N0 от времени в интервале от 0<t<m суток через каждые сутки. Период полураспада T=4 суток, в начальный момент времени N/N0=1.
Рассчитать среднее значение относительного числа атомов радона в период от 4х по 8е сутки.
12. Плотность воздуха убывает с высотой h по закону:
Считая, что р0=1.29 кг/м3, z=1.25*10-4 1/м, напечатать таблицу зависимости плотности от высоты для значений от 0 до 10000 м, с шагом d м. Рассчитать среднее значение давление в слое от 1000 до 2000м.
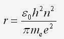
13. Радиус боровской орбиты электрона находится по формуле:
Определить радиус десяти первых боровских орбит в метрах и ангстремах. Рассчитать средний радиус орбиты электрона.
14. Энергия электрона в атоме водорода определяется по формуле:
Определить энергию электрона на первых пяти боровских орбитах в Джоулях и электронвольтах. Рассчитать среднюю энергию электрона.
15. Свет, падающий на металлическую поверхность, может выбить из нее электроны, которые вылетают со скоростью v. Электрон вылетает, если энергия падающего кванта превышает работу выхода данного металла.
Написать программу, которая распечатывает таблицу зависимости скорости вылетевшего из меди (А=4.4эВ) электрона от длины волны падающего кванта l для значений l от 200 до 500 нанометров с шагом 30 нм. Если свет с данной длиной волны не может выбить электрон, программа должна писать «электрон не вылетает». Подсчитать число таких случаев.
16. Получить таблицу угла преломления β от угла падения a, если световой луч падает на границу двух сред с показателями преломления n1=1.33(вода), n2=1. Подсчитать долю углов, при которых происходит полное внутреннее отражение.
17. Из орудия под углом α к горизонту вылетает снаряд со скоростью 800 м/с.Получить таблицу зависимости высоты и дальности полета от времени (учтите, что при у=0 движение заканчивается). Программа должна определить наибольшую высоту подъема снаряда в процессе движения.
18. Рассчитать таблицу зависимости силы тока I в цепи, состоящей из последовательно соединенных сопротивления R, индуктивности L и емкости C при колебаниях с частотой w от 0 до w1 Гц по формуле:
Определить максимальное значение силы тока.
19. Известно, что если предмет находится на расстоянии d от вогнутого зеркала радиусом R, то его изображение получается на расстоянии f от зеркала, причем 2/R=1/d+1/f. При этом, в зависимости от соотношения радиуса зеркала и расстояния d, характер изображения меняется: изображение может быть действительным (f>0) и мнимым (f<0). Получите таблицу значений f и характера изображения для d от R/2 до 2R с некоторым шагом. Подсчитайте число случаев появления мнимого изображения.
20. Год является високосным, если его номер кратен 4. Однако, если номер года кратен 100, то високосными являются лишь кратные 400. Программа должна выводить на экран таблицу с указанием года и его високосности для 2000-2050 гг. Подсчитайте количество дней в 2000-2050 гг.

Комментариев нет:
Отправить комментарий